128x32 OLED ekranı nasıl lehimlerim?
Merhabalar, projemde 128x32 OLED ekranı Arduino ile kullandığım projemde ekranı Arduino'dan yaklaşık 1.5 metre uzağa yerleştirmem gerekli. Bende telefon şarj kablosunun iki ucunuda kestim, içerisinden dört kablo çıktı. Kabloları ekranın üzerindeki headerları söktükten sonra lehimledim. Çalışıyor ancak SCL ve SLA kablolarında en küçük bir kesinti olduğu anda Arduino tamamen duruyor/donuyor. Kablolar lehimli olmasına rağmen bir şey oluyor ve donuyor. Sizce ne yapmam gerek?
*Bu arada ekranı denerken kırdım, yenisini alacağım.
**Konuyu yanlış yere açtıysam kusura bakmayın.
Öncelikle merhaba, bir proje yapmaya çalışıyorum ve projede gözüme çok yakın bir 128x32 oled ekran var, yakın olduğu için ekrandaki yazıları okuyamıyorum bunun için evde bulduğum bir ince kenarlı mercekle deneme yaptım fakat yazıların okunabilir olması için merceğin ekrandan 2cm uzakta olması gerekiyor. 2cm uzaklık çok uzak, çalışma alanım çok küçük, bende şu şekilde düşündüm 200 diyoptri değerinde yani 0,5cm odak uzaklığına sahip bir mercek bulabilirsem/yapabilirsem merceği ekrana 0,5cm uzağa koyup yazıları okuyabileceğimi düşündüm ayrıca merceğin çapının yaklaşık 3cm olması gerekiyor, bu büyüklükte bu odak uzaklığına sahip merceği bulabilirmiyim/yapabilirmiyim, gözlükçüler yapar mı, daha iyi bir fikri olan var mı?
.
.
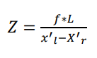
Merhaba, size stereo kamera kullanarak belirlenen cismin derinliğini (uzaklığını) nasıl hesaplayacağınızı göstereceğim.


ML ve MR sağ ve sol kameralar, FL ve FR sağ ve sol kameranın odak uzaklığı (genellikle 4mm ve 60mm arasında değişir. Tabi kameranıza bağlı), X'L ve X'R, P nesnesinin kameranın görüntüsündeki yeri ile kameranın ekseni arasındaki mesafe, Z, P nesnesinin kameralara uzaklığıdır.
Daha detaylı anlatım için PDFyi yükleyebilirsiniz.
https://www.researchgate.net/publication/306007767_Stereo_kamera_sisteminde_aykirilik_haritalari_yardimiyla_nesne_uzakliklarinin_tespit_edilmesi
Merhaba, öncelikle Python'da yeniyim o yüzden sorunun kaynağını bulamadım.
Ben birkaç ay önce projemde Yolov4-tiny kullanıyordum ve kamera olarak kendi telefonumu, DroidCam uygulaması ile internet üzerinden bağlayıp sorunsuz bir şekilde kullanıyordum, bugün kodumu çalıştırmak istedim ama bir hata verdi, hata verince bende laptopun kendi kamerasını açtım kod çalıştı, ama bana uzaktan kamera lazımdı, sonra başka bir kodda telefonumun kamerasını denedim yine çalışmadı sonra herhalde kütüphaneye güncelleme geldi diye, önce "pip unisntall opencv-python" ile kütüphaneyi kaldırdım sonra yeniden yükledim ama bu sefer ne laptopun kamerası ile ne de telefonumun kamerası ile çalıştı.
yazdığım kodlar(kodun çalışması için COM3 portuna arduino bağlanması gerek.)
(isteyene atacağım)
aldığım hata
Traceback (most recent call last):
File "G:\Sarı Flash(KINGSTON)\Otonom\Araçlar\denemeler\Seri_Iletisim\seri_iletisim_ile_isleme.py", line 22, in <module>
output_layers = [layer_names[i[0] - 1] for i in net.getUnconnectedOutLayers()]
File "G:\Sarı Flash(KINGSTON)\Otonom\Araçlar\denemeler\Seri_Iletisim\seri_iletisim_ile_isleme.py", line 22, in <listcomp>
output_layers = [layer_names[i[0] - 1] for i in net.getUnconnectedOutLayers()]
IndexError: invalid index to scalar variable.
Güncellemeden önce hatayı 41 satırda alıyordum şimdi yukardakı gibi. önceki versiyonum neydi hatırlamıyorum ama en sondan bir öncekidir herhalde
Pycharm opencv yükleme hatası
Elimde Hislon marka Alman malı bir kurmalı saat var fakat saat dong etmiyor hiç bir sıkıntısı yok saatin. Saat mekanizmasının içinde bir çark var o çarkı azıcık çevirince dong ediyor ama saat normal bir şekilde ilerlerken sadece bir kez dong ediyor acaba sebebi nedir? (konu hakkında bilginiz varsa saatin istediğiniz yerinin resmini atabilirim)

Silinsin.
.
Metal dedektörü devresi ile ilgili yardım!
Ben Thomas Scarborough tarafından yazılan "Matchless metal locator" adlı dedekörü yapmak istedim(https://www.geotech1.com/pages/metdet/projects/matchless/matchless150c.pdf). Devreyi breadboard üzerinde denedim ama çok karışık oldu. Ardından bedavaya PCB getirttim Çinden, güzelce lehimledim tüm parçaları sadece bir parça eksikti oda 0.01uF'lik seramik kondansatör. Bobinlerden biri kalın bakır tele sahip, yaklaşık 50 tur. diğeri ise ince bir bakır tele sahip ve yaklaşık 70 tur olması gerek ama devre bir türlü çalışmıyor(bobinler eski projelerden kalma yeni bir tane yapmadım) sebebi ne olabilir acaba normalde buzzer ile ses çıkarması gerekiyordu ama ben kulaklık bağladım ötmedi, buzzer aldım oda ötmedi acaba problem bobinlerden mi kaynaklı yoksa eksik olan parçadanmı yoksa bendenmi kaynaklı?





devre,potlar ve bobinler sağdaki bobin verici ince,soldaki alıcı kalın.
Kondansatör ile ilgili yardım!
ben şimdi metal dedektörü yapacağım ama devrede 3 eleman eksik.3de kondansatör ,
1.soru :şimdi devrede 16v 100uf elektrolit kond. isteniyor bende 100uf 10v var birde 220uf 16v var hangisini kullanayım?
2.soru :Devrede 103 no'lu 0.01uf'lik seramik kond. isteniyor bende 104 var kullansam sorun olurmu?
3.soru :Devrede 102 no'lu 0.001uf'lik polistren kond. isteniyor bende 103 var daha doğrusu 103J100V yazıyor kullansam olurmu?

| Korku öldürür, şüphe yaşatır, cesaret de başarıya götürür. |
Son Giriş: 2 yıl önce
Son Mesaj Zamanı: 2 yıl
Mesaj Sayısı: 26
Gerçek Toplam Mesaj Sayısı: 43
İkinci El Bölümü Mesajları: 0
Konularının görüntülenme sayısı: 0 (Bu ay: 277)
Toplam aldığı artı oy sayısı: 33 (Bu hafta: 0)
En çok mesaj yazdığı forum bölümü: Donanım / Hardware






Yeni Kayıt
Özel Mesaj

Görüntülenme
1 Yanıt
0





